开云官方网页版专题频道一分一段表栏目,提供与一分一段表相关的所有资讯,希望我们所做的能让您感到满意!
今年上海地区的考生们真是不容易,经历了这么长的疫情时间推迟一个月的时间高考应该也是比其他省份的压力更大。小编今天带来的是2022年上海市体育类投档成绩一分一段表的详细情况,大家一起来看看吧!欢迎大家阅读本文,关注本站即可获取更多精彩资讯!
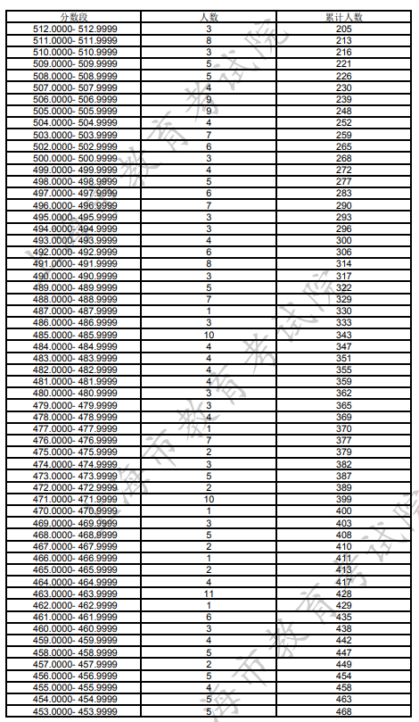
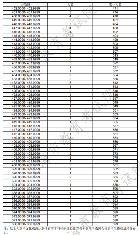
2022上海体育类投档成绩分布表已经公布,569分及以上累计人数11人,568-568.9999分累计人数12人,567-567.9999分累计人数14人,565-565.9999分累计人数15人,564-564.9999分累计人数16人。
上海2022体育类投档成绩分布表



“一分一段表”作用
如何知道全省排名多少?
为了帮助考生科学填报志愿,高考查分系统开通后,各省将发布“分数段统计表”(一分一段表)。
什么是“一分一段表”?
所谓“一分一段表”,就是以“1分”为单位,统计考得该分数的考生人数和累计人数,文理科分开排名,每一个分数段上有多少人一目了然。自己的分数在全省考生中排多少位?相同分数的考生有多少人?“一分一段表”里有答案。
...
2022年上海市艺术类的分数线也已经公布,那么各位小伙伴的分数能不能上自己理想的院校呢?接下来小编给大家带来的是上海2022年高考播音与主持类的一分一段表,欢迎大家阅读本文,关注本站即可获取更多精彩资讯!
一分一段表是很重要的填报志愿的依据,是从高到低的排名,考生根据成绩对照一分一段表,就可以知道自己在全省的排名,再参照各类学校各批次招生计划数,确定自己该如何填报志愿。
上海播音与主持艺术类专业一分一段表



现在上海市的高考分数线都已经公布,艺术类的分数线自然也不会空缺。那么小编今天给大家带来的就是2022年上海市高考表演类的一分一段表详情,各位感兴趣的小伙伴一起来看看吧!欢迎大家阅读本文,关注本站即可获取更多精彩资讯!
一分一段表是很重要的填报志愿的依据,是从高到低的排名,考生根据成绩对照一分一段表,就可以知道自己在全省的排名,再参照各类学校各批次招生计划数,确定自己该如何填报志愿。
2022上海高考表演类文化成绩排名



今天小编给大家带来的是2022年上海市高考编导类一分一段表的具体情况,上海编导类高考的小伙伴们赶紧来看看吧,看看自己的分数排名区间如何吧,也祝愿各位小伙伴能进开云官方网页版自己理想的大学!欢迎大家阅读本文,关注本站即可获取更多精彩资讯!
一分一段表是很重要的填报志愿的依据,是从高到低的排名,考生根据成绩对照一分一段表,就可以知道自己在全省的排名,再参照各类学校各批次招生计划数,确定自己该如何填报志愿。
2022上海高考编导类成绩排名(文化课)





最新消息!目前上海市官方已经公布了2022年高考美术与设计类分数的一分一段表,各位上海市的考生们来看看你们的分数大概是在哪个区间吧!小编同时在这里祝愿各位小伙伴都能被自己理想的院校录取!欢迎大家阅读本文,关注本站即可获取更多精彩资讯!
一分一段表是很重要的填报志愿的依据,是从高到低的排名,考生根据成绩对照一分一段表,就可以知道自己在全省的排名,再参照各类学校各批次招生计划数,确定自己该如何填报志愿。
2022上海高考美术与设计学类排名





...
07-25
近日,上海市2022年的高考成绩已经公布出来了,为此小编今天特为大家整理出了上海市2022年考生高考成绩一分一段表,对该表格感兴趣的快来仔细阅读一下本文吧!其他更多新鲜资讯,敬请关注开云官方网页版。







推荐阅读:
07-13
广西省还在查找本省高考成绩分数人数分布情况的考生来小编这看看吧!广西省2022年高考考试文理成绩一分一段表已经出来了,详细表格小编已经整理好放在下面了,相信此表对你一定会有很大的帮助。
广 西
文史:
![]()
![]()
![]()
![]()
![]()
07-13
最新高考资讯,黑龙江省2022年高考考试成绩文理一分一段表已经出来了,对此表感兴趣的小伙伴来详细阅读一下此文吧!下面是开云官方网页版小编整理的黑龙江2022年高考成绩一分一段表,欢迎大家参考阅读。
黑 龙 江
文史:
![]()
理工:
![]()
推荐阅读:
...07-13
安徽省2022年普通高等学校统一考试考生成绩一分一段表小编已经整理好放在下面了,对此表格感兴趣的朋友们来和小编一起仔细瞧瞧吧!其他更多考试资讯,请持续关注开云官方网页版,小编将实时为你更新。
安 徽
文史:
![]()
![]()
![]()
理工:
![]()
![]()
07-13
近日最新资讯是四川省2022年高考考试成绩一分一段表,表中文史类分数在647分以上的累计有37人,理工类分数在695分以上的累计有56人,详细表格下面就跟开云官方网页版小编一起了解一下吧!
四 川
文史:
![]()
![]()
![]()
![]()
![]()
一分一段表推荐访问