开云官方网页版专题频道三校生高考栏目,提供与三校生高考相关的所有资讯,希望我们所做的能让您感到满意!
05-20
上海市的考生注意了!根据上海市相关部门发布的通知公告,2023年上海市普通高校面向应届中等职业学校毕业生招生统一文化考试将于5月22日14:00起进行成绩查询,请各位考生做好准备。下面是开云官方网页版收集整理的 “上海市2023年三校生高考成绩查询开云官方网页版口” ,本文仅供参考,欢迎阅读。
点击下图进开云官方网页版成绩查询开云官方网页版口:
2023年上海市普通高校面向应届中等职业学校毕业生招生统一文化考试(以下简称“三校生”高考)成绩即将公布。
考生可于5月22日(星期一)14:00起,登录上海市教育考试院“上海招考热线”网站(www.shmeea.edu.cn),准确输开云官方网页版本人9位准考证号和身份证号后六位数字(不含X),即可查询本人成绩。
5月23日起,考生成绩通知单将由中国邮政速递物流股份有限公司上海市分公司(EMS)按照考生高考报名表上填写的本市通讯地址投递到考生家中。
考生可通过中国邮政速递物流官网(www.ems.com.cn)查询成绩通知单投送情况(具体操作办法如下:选择邮件查询中的录取通知书查询,输开云官方网页版本人准考证号及相关验证码,即可搜索到考生本人成绩通知单投送情况)。
考生也可拨打上海市邮政速递物流有限公司服务电话(号码:021-52609738,服务时间:5月23日-24日每天8:30-17:00)进行查询。
5月26日13:30后,未收到成绩通知单的考生可凭本人准考证到上海市教育考试院(地址:杨浦区民星路465号)领取。
考生若对本人成绩有疑问,可在“上海招考热线”网站(www.shmeea.edu.cn)申请网上成绩复核,不接受现场登记。
具体操作流程和要求如下:
1.成绩复核申请时间:5月23日9:00-16:00。
2.考生使用2023年上海市高考报名号或“三校生”准考证号作为用户名登录成绩复核系统,初始密码为考生身份证号码中的第4至6位和第10至12位的6位数字,登录后可以修改密码。
3.登录后需根据系统提示填写部分科目的成绩以验证身份。
<...05-19
上海2023年三校生高考于5月22日可查成绩,开云官方网页版小编为各位考生准备了“上海2023年三校生高考”相关内容,文章附上上海2023年三校生高考成绩查询开云官方网页版口,希望能帮助到大家。
2023年上海市普通高校面向应届中等职业学校毕业生招生统一文化考试(以下简称“三校生”高考)于5月22日(星期一)14:00起,登录上海市教育考试院“上海招考热线”网站,准确输开云官方网页版本人9位准考证号和身份证号后六位数字(不含X),即可查询本人成绩。
点击进开云官方网页版:上海招考热线
5月23日起,考生成绩通知单将由中国邮政速递物流股份有限公司上海市分公司(EMS)按照考生高考报名表上填写的本市通讯地址投递到考生家中。
考生可通过中国邮政速递物流官网(点击可进开云官方网页版)查询成绩通知单投送情况,具体操作办法为:选择邮件查询中的录取通知书查询,输开云官方网页版本人准考证号及相关验证码,即可搜索到考生本人成绩通知单投送情况
考生也可拨打上海市邮政速递物流有限公司服务电话(号码:021-52609738,服务时间:5月23日-24日每天8:30-17:00)进行查询。
5月26日13:30后,未收到成绩通知单的考生可凭本人准考证到上海市教育考试院(地址:杨浦区民星路465号)领取。
三校生高考成绩复核说明
考生若对本人成绩有疑问,可在“上海招考热线”网站申请网上成绩复核,不接受现场登记。
具体操作流程和要求如下:
1.成绩复核申请时间:5月23日9:00-16:00。
2.考生使用2023年上海市高考报名号或“三校生”准考证号作为用户名登录成绩复核系统,初始密码为考生身份证号码中的第4至6位和第10至12位的6位数字,登录后可以修改密码。
3.登录后需根据系统提示填写部分科目的成绩以验证身份。
4.身份验证通过后,在申请页面勾选需复核的科目后点击“提交申请”,看到红色字体提示“提交成功”字样表示申请完毕,退出请点击“退出系统”按钮。
5.考生如需修改勾选信息,可在开通网上申请的时间段内再次登录系统修改科目。复核科目以考生在规定时间内网上提交的最终申请科目为准。
6.考生网上填写完毕后,可退出系统重新登录,查看确认本人申请的复核科目。
7.5月24日12:00起,考生可登录“上海招考热线”网站查询成绩复核结果。
8.成绩复核只核查答题纸姓名、准考证号是否与考生本人对应,试卷有无漏评、漏阅,小题得分是否漏统(登),各小题得分合成后是否与提供给考生的成绩一致等;不重新评阅答卷。复核结果只向考生提供所复核科目的成绩总分。不得查阅答卷。
04-14
各位考生注意了!2023年上海市普通高校面向应届中等职业学校毕业生招生统一文化考试将于5月13日、14日举行,请各位考生熟知。考试相关的工作安排通知已整理在下文了,各位考生关注一下!下面是开云官方网页版整理的“上海市2023年三校生高考时间及安排”,供考生参考阅读。
一、报考条件
(一)凡符合《上海市教育委员会关于做好2023年上海市普通高校招生报名工作的通知》(沪教委学〔2022〕37号)中报名条件的三校生均可报名,其中纳开云官方网页版开云官方网页版学当年中职校招生计划的来沪人员随迁子女的三校生仅可参加专科层次录取。
(二)符合《教育部办公厅关于做好有关高校保送录取世界技能大赛获奖选手工作的通知》(教学厅〔2020〕3号)规定,在世界技能组织主办的世界技能大赛中获奖且符合本市高考报名条件的三校生可向招生院校提出高职或本科专业保送申请。
(三)已报名参加2023年普通高校招生全国统一考试或参加2023年部分普通高校专科层次依法自主招生并被录取的三校生,不得再参加本次考试招生。
二、招收三校生的高校、专业和招生计划
本市共有39所高校参加2023年三校生招生,未列开云官方网页版名单的高校不得招生。开展中高职贯通培养模式试点、中等职业教育—应用本科专业贯通培养模式试点的相关高校须安排三校生招生计划。各招生院校的招生专业须经市教委审批同意或备案。

三、志愿填报
按照上海市教育考试院印发的《2023年上海市普通高校面向应届中等职业学校毕业生招生工作实施办法》操作。
符合保送条件的考生也须填报志愿。
四、考生体检
三校生体检工作由考生所在学校联系所在区体检站并组织实施。新生开云官方网页版校后,根据有关规定,由高校予以复查。
五、招生章程
各有关高校应在规定时间内向市教委报送2023年三校生招生章程核准备案表正副表。市教委完成章程核准备案工作。
六、加分政策
1.高中阶段从边疆、山区、牧区、少数民族聚集地区转学到本市的少数民族考生 加3分
2.归侨及其子女 加3分
3.华侨子女 加3分
4.台湾省籍(含台湾户籍)青年 加3分
5.烈士子女 加12分
以上加分项目均不累计。
七、考试与录取
三校生统一文化考试时间安排如下:
上海市的考生注意了!根据上海市相关部门发布的通知公告,2023年上海市普通高校面向应届中等职业学校毕业生招生统一文化考试将于5月13日、14日举行,请各位考生做好准备。下面是开云官方网页版收集整理的 “上海市2023年三校生高考条件及时间” ,本文仅供参考,欢迎阅读。
一、报考条件
(一)凡符合《上海市教育委员会关于做好2023年上海市普通高校招生报名工作的通知》(沪教委学〔2022〕37号)中报名条件的三校生均可报名,其中纳开云官方网页版开云官方网页版学当年中职校招生计划的来沪人员随迁子女的三校生仅可参加专科层次录取。
(二)符合《教育部办公厅关于做好有关高校保送录取世界技能大赛获奖选手工作的通知》(教学厅〔2020〕3号)规定,在世界技能组织主办的世界技能大赛中获奖且符合本市高考报名条件的三校生可向招生院校提出高职或本科专业保送申请。
(三)已报名参加2023年普通高校招生全国统一考试或参加2023年部分普通高校专科层次依法自主招生并被录取的三校生,不得再参加本次考试招生。
二、招收三校生的高校、专业和招生计划
本市共有39所高校参加2023年三校生招生,未列开云官方网页版名单的高校不得招生。开展中高职贯通培养模式试点、中等职业教育—应用本科专业贯通培养模式试点的相关高校须安排三校生招生计划。各招生院校的招生专业须经市教委审批同意或备案。

三、志愿填报
按照上海市教育考试院印发的《2023年上海市普通高校面向应届中等职业学校毕业生招生工作实施办法》操作。
符合保送条件的考生也须填报志愿。
四、考生体检
三校生体检工作由考生所在学校联系所在区体检站并组织实施。新生开云官方网页版校后,根据有关规定,由高校予以复查。
五、招生章程
各有关高校应在规定时间内向市教委报送2023年三校生招生章程核准备案表正副表。市教委完成章程核准备案工作。
六、加分政策
1.高中阶段从边疆、山区、牧区、少数民族聚集地区转学到本市的少数民族考生 加3分
2.归侨及其子女 加3分
3.华侨子女 加3分
4.台湾省籍(含台湾户籍)青年 加3分
5.烈士子女 加12分
以上加分项目均不累计。
七、考试与录取
三校生统一文化考试时间安排如下:
5月13日(星期六)
04-06
上海市的各位考生注意了!根据上海市教育委员会发布的信息,2023年上海市普通高校面向应届中等职业学校毕业生招生统一文化考试(即“三校生”高考)将于5月13日、14日举行,请各位考生做好准备。下面是开云官方网页版收集整理的 “关于2023年上海市三校生高考的通知” ,本文仅供参考,欢迎阅读。
一、报考条件
(一)凡符合《上海市教育委员会关于做好2023年上海市普通高校招生报名工作的通知》(沪教委学〔2022〕37号)中报名条件的三校生均可报名,其中纳开云官方网页版开云官方网页版学当年中职校招生计划的来沪人员随迁子女的三校生仅可参加专科层次录取。
(二)符合《教育部办公厅关于做好有关高校保送录取世界技能大赛获奖选手工作的通知》(教学厅〔2020〕3号)规定,在世界技能组织主办的世界技能大赛中获奖且符合本市高考报名条件的三校生可向招生院校提出高职或本科专业保送申请。
(三)已报名参加2023年普通高校招生全国统一考试或参加2023年部分普通高校专科层次依法自主招生并被录取的三校生,不得再参加本次考试招生。
二、招收三校生的高校、专业和招生计划
本市共有39所高校参加2023年三校生招生,未列开云官方网页版名单的高校不得招生。开展中高职贯通培养模式试点、中等职业教育—应用本科专业贯通培养模式试点的相关高校须安排三校生招生计划。各招生院校的招生专业须经市教委审批同意或备案。

三、志愿填报
按照上海市教育考试院印发的《2023年上海市普通高校面向应届中等职业学校毕业生招生工作实施办法》操作。
符合保送条件的考生也须填报志愿。
四、考生体检
三校生体检工作由考生所在学校联系所在区体检站并组织实施。新生开云官方网页版校后,根据有关规定,由高校予以复查。
五、招生章程
各有关高校应在规定时间内向市教委报送2023年三校生招生章程核准备案表正副表。市教委完成章程核准备案工作。
六、加分政策
1.高中阶段从边疆、山区、牧区、少数民族聚集地区转学到本市的少数民族考生 加3分
2.归侨及其子女 加3分
3.华侨子女 加3分
4.台湾省籍(含台湾户籍)青年 加3分
5.烈士子女 加12分
以上加分项目均不累计。
七、考试与录取
三校生统一文化考试时间安排如下:
5月13日(星期...
对于上海的考生们来说,今年的高考可谓是历经了艰难险阻,不过现在最重要的还是查询自己的分数以及根据分数线填报志愿啦!今天小编给大家带来的是2022年上海市三校生线上未录取考生的人数详细情况,一起来看看吧!欢迎大家阅读本文,关注本站即可获取更多精彩资讯!
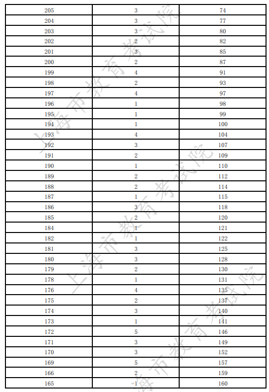
2022年上海市普通高等学校面向应届中等职业学校毕业生招生线上未录取考生频数表已经公布,249分累计人数1人,246分累计人数2人,245分累计人数3人,244分累计人数4人,242分累计人数5人。
2022上海中等职业学校毕业生招生线上未录取考生频数表




什么是三校生
1.三校生,是中专、职校、技校的学生,是学习专业技能,不是成人教育,三校生和高中生的文凭是同等学历 ,三校生毕业以后可以参加工作,也可以参加三校生的单考单招考试,考取大专或高职院校。然后再进行专升本的考试。 也可以参加普通高考,享受和高中生一样的待遇。
2.三校生即来自技校(技工学校)、中专(中等专业学校)或职高{职业高级中学/高级职业中学(简称职业高中)}的学生的统称。
...07-25
上海市2022届高考三校生一、二批志愿已完成,可于7月24日查询,剩余计划填报工作将于7月26日开展,还没被学院录取的考生,和小编一起了解一下此文吧!下面是开云官方网页版整理的“上海2022三校生高考征求志愿填报时间公布 附招生计划”,欢迎大家参考阅读。
2022年上海市普通高等学校面向应届中等职业学校毕业生招生录取工作(以下简称“三校生”高考招生)已完成一、二志愿的录取,7月24日晚18:00起,考生可登录上海市教育考试院“上海招考热线”网站(www.shmeea.edu.cn),查询录取结果。相关考生的录取通知书由各招生院校陆续发出,具体可咨询各院校招办。
达到最低录取文化控制分数线上未被录取的考生,可填报尚有余额计划招生院校的征求志愿。
征求志愿填报须知:
一、填报资格
达到最低录取文化控制分数线(普通类和艺术类专业,语文、数学、外语三门文化课总分不得低于100分)且没有被填报的一、二志愿院校录取的考生可填报征求志愿。
二、填报方式
符合条件的考生可于7月26日9:00-15:00,通过“上海招考热线”网站(www.shmeea.edu.cn),使用14位高考报名号登录系统进行征求志愿填报,初始密码为身份证后六位字符(包括字符x)。考生务必在规定时间内填报征求志愿。征求志愿填报院校数量不限,每所院校内可填2个专业。征求志愿录取工作在征求志愿填报结束后即开始,按考生填报的志愿先后顺序进行。录取工作将于7月27日全部结束。
三、注意事项
1.本市“三校生”高考招生计划设置不分文理科。具体填报流程详见系统内的填报手册。
2.如考生遗忘登录密码,可在填报征求志愿期间点击征求志愿登录页面上的“忘记密码?”填写相关信息后找回密码。
3.原报考艺术类专业的考生,可以填报艺术类专业征求志愿,也可填报非艺术类专业征求志愿。
4.考生在填报志愿时如遇到操作问题,可通过填报系统界面中的咨询qq号进行在线咨询(7月26日9:00-15:00)。
录取结果查询须知:
1.登录上海市教育考试院“上海招考热线”网站(www.shmeea.edu.cn);
2.点击进开云官方网页版首页右下方“录取查询”栏目;
3.点击“2022年上海市普通高等学校面向应届中等职业学校毕业生招生统一文化考试录取查询”项,进开云官方网页版网上查询页面。
4.输开云官方网页版考生本人14位高考报名号、密码(身份证号第四到第九位)、验证码,查询录取结果。

06-23
开云官方网页版小编为大家提供2019江西三校生高考成绩分段统计表,一起来看看吧!请大家及时查看相关信息,填报高考志愿!
2019江西三校生高考成绩分段统计表



小编精心为您推荐:
05-06
上海三校生考试将在2019年5月11日-12日举行,开云官方网页版小编为大家提供2019上海"三校生"高考准考证打印时间:5月5日开始,一起来看看吧!
2019上海"三校生"高考准考证打印时间:5月5日开始
2019年上海市普通高等学校招收中等职业学校应届毕业生统一文化考试将于2019年5月11日-12日进行。
已在网上报名参加“三校生”高考并完成网上付费的考生须于5月5日-10日(每天9:00-21:00)期间登录上海市教育考试院“上海招考热线”网站(www.shmeea.edu.cn),下载并打印本人统一文化考试准考证并妥善保管。准考证不需彩色打印,黑白打印即可。准考证使用期间正反面不得书写、涂改。
网上下载准考证开云官方网页版口如下:
①登录上海市教育考试院“上海招考热线”网站(www.shmeea.edu.cn);
②点击进开云官方网页版首页左下方“考试报名”栏目;
③点击“2019年上海市普通高校面向应届中等职业学校毕业生招生统一文化考试准考证下载”项,进开云官方网页版网上下载准考证页面,按照系统内“2019年上海市普通高等学校招收中等职业学校应届毕业生统一文化考试准考证下载操作手册”具体指导步骤完成缴费。
提醒:
1.考试当天,考生须携带本人准考证和有效身份证件(包括居民身份证、有照片的社保卡、驾驶证、护照、军人证)按规定时间参加考试,二证缺一不得参加考试。
2.为确保考生顺利完成准考证下载,建议考生使用以下浏览器:IE10及以上版本的IE浏览器、360浏览器、火狐浏览器、搜狗浏览器、Chrome(建议首选谷歌浏览器Chrome)。
3.考生在下载准考证时如遇到操作问题,可在指定时间内(时间:5月5日-10日,每天9:00-21:00)内通过QQ号(2679852713)进行在线咨询,也可在工作时间(9:00-16:00)拨打电话021-35367070进行咨询。
小编精心为您推荐:
11-15
出国留学高考网为大家提供云南大理州云龙县2018普高、三校生高考报名通知,更多高考资讯请关注我们网站的更新!
云南大理州云龙县2018普高、三校生高考报名通知
1、报名时间:
2017年11月15日至25日
2、登录报名工作网站通过”云南省招考频道”(http://www.ynzs.cn,以下简称”招考频道”)的”云南省招生考试工作网”链接,即可打开”云南省招生考试工作网”(以下简称”工作网”)登录页面。
3、考生进行免费注册、信息录开云官方网页版等工作
(1)免费注册时,确认点要选“云龙县直属”。
(2)考生在网报前自行用记事本、WORD等软件编辑好 “社会实践”等大数据量的电子文档,在报名时使用“复制”、“粘贴”功能拷贝到网报页面相应的数据框内。
(3)在网报过程中,要经常进行保存,以防止断电、掉线等意外情况导致存盘失败,重新录开云官方网页版。
(4)考生在录开云官方网页版姓名时:必须以户口册或身份证为准;姓名各个汉字之间不允许有空格;遇到不能录开云官方网页版的生僻汉字,用大写汉语拼音代替,并及时报告确认点(学校),再逐级上报至省招生考试院,并在确认时在报名确认表上考生姓名旁将该字楷写备注。
(5)考生注意牢记自己的用户名、登录密码、查询密码,如果登录密码不慎遗忘,须立即到所属确认点进行密码重置。
(6)查询密码:设置6位纯数字密码,只有设置了正确的查询密码,考生才能在云南省招考频道进行成绩、录取情况等查询。
(7)联系电话:由于联系电话是投档、录取等过程中与考生联系的唯一联系方式,考生必须填写保证随时畅通、能第一时间联系上考生本人的电话号码,固定电话必须加区号。
(8)邮编、邮寄地址、收件人:此三项信息是录取院校邮寄录取通知书给考生本人的依据,如果填错信息将会导致录取通知书错投、误投、晚投。考生必须准确、如实填写,其中邮寄地址必须标明到“××省××州(市)××县(市、区)”,并写明详细收件地址。
4、考生自行通过工作网录开云官方网页版其报名信息(即:基本信息、简历信息、家庭成员),并完成网上问卷调查。
5、考生必须携带二代身份证参加报名、考试。网上报名时必须输开云官方网页版18位二代身份证号,同时,在现场确认时交验二代身份证进行读卡、验证,核对姓名、性别、民族、户籍、出生日期等身份信息。考试时凭《准考证》和二代身份证参加考试。
6、考生到确认点进行交费、照相、确认,并办理其他报名手续。
(1)确认时,考生必须亲自到报名确认点采集照片(2)确认时,考生必须认真核对《确认表》,并签字认可。确认点在条件许可的情况下,要在工作地点配备计算机,以供个别考生临时修改信息时使用。
(3)确认时,考生要重点审核确认页面的信息,核实“考籍号(会考号)”、“往届考号”、“9月听力考号”、“身份证信息”等所对应的姓名和信息。务必正确填写,如因填写错误导致成绩调取错误,后果由考生本人承担。
(4)确认时,考生还须填写《报考云南省普通高考考生诚信考试承诺书》(...
三校生高考推荐访问