开云官方网页版专题频道均值不等式栏目,提供与均值不等式相关的所有资讯,希望我们所做的能让您感到满意!
12-06
均值不等式是数学中一个很重要的知识点,让我们一起来了解一下吧。下面是由开云官方网页版编辑为大家整理的“均值不等式和基本不等式的区别有哪些”,仅供参考,欢迎大家阅读本文。
均值不等式和基本不等式的区别
区别如下:
1、基本不等式。和定积最大:当a+b=S时,ab≤S^2/4(a=b取等),积定和最小:当ab=P时,a+b≥2√P(a=b取等)。
2、均值不等式:如果a,b 都为正数,那么√(( a^2+b^2)/2)≥(a+b)/2 ≥√ab≥2/(1/a+1/b)(当且仅当a=b时等号成立.) 。( 其中√(( a^2+b^2)/2)叫正数a,b的平方平均数也叫正数a,b的加权平均数;(a+b)/2叫正数a,b的算数平均数;√ab正数a,b的几何平均数;2/(1/a+1/b)叫正数a,b的调和平均数) 。
均值不等式公式

12-04
从初中开始就已经学习了简单的不等式,到高中深开云官方网页版学习,又有了均值不等式,下面是由开云官方网页版编辑为大家整理的“高中四个均值不等式推导过程详解”,仅供参考,欢迎大家阅读本文。
高中四个均值不等式推导过程详解
四个均值不等式
1、调和平均数:Hn=n/(1/a1+1/a2+...+1/an)
2、几何平均数:Gn=(a1a2...an)^(1/n)
3、算术平均数:An=(a1+a2+...+an)/n
4、平方平均数:Qn=√ (a1^2+a2^2+...+an^2)/n
这四种平均数满足Hn≤Gn≤An≤Qn 的式子即为均值不等式。
均值不等式用数学归纳法的证明
第一步:等价变换,分子增加又减去同一项,巧妙处是这一项指数的选取,正好是要证明的右端。
第二步:(1)把前面(a1+a2+...+ak)用上面假设n=k成立时较小的右端乘k代替,(a1+a2+...+ak)/k≥(a1a2...ak)^(1/k),两边乘k:
a1+a2+...+ak≥k(a1a2...ak)^(1/k),
因此≥成立。
(2)难点是a(k+1)+(k-1)(a1a2...a(k+1))^(1/(k+1))≥k[a(k+1)(a1a2...a(k+1))^[(k-1)/(k+1)]]^(1/k)
其实也很好证明(k-1)(a1a2...a(k+1))^(1/(k+1),看成是k-1个数,加上a(k+1),也是k个数。
根据上面假设,n=k时,(a1+a2+...+ak)/k≥(a1a2...ak)^(1/k)是成立的,
注意!!!a1,a2,...,ak只是正数的代表,不限于什么正数,换成k个数:a(k+1),和k-1个(a1a2...a(k+1))^(1/(k+1),这个不等式也是成立的!代换一下,就成了:
a(k+1)+(k-1)(a1a2...a(k+1))^(1/(k+1))≥k[a(k+1)(a1a2...a(k+1))^[(k-1)/(k+1)]]^(1/k)
第三步:
前面两项提取k之后成为:
(a1a2...ak)^(1/k)+[a(k+1)(a1a2...a(k+1))^[(k-1)/(k+1)]]^(1/k)
使用前面一开始证明的n=2时的结果,a1+a2≥2√(a1a2)(当成公式,不是当成数)
(a1a2...ak)^(1/k)+[a(k+1)(a1a2...a(k+1))^[(k-1)/(k+1)]]^(1/k)
≥2{(a1a2...ak)^(1/k)[a(k+1)(a1a2...a(k+1))^[(k-1)/(k+1)]]^(1/k)}^(1/2)
=2{(a1a2...ak)^(1/k)[a(k+1)^(1/k)(a1a2...a(k+1))^[(k-1)/k(k+1)]]}^(1/2)
=2{(a1a2...ak)^(1/k)[a(k+1)^(1/k)(a1a2...a(k+1))^[1/(k+1)-1/k(k+1)]]}^(1/2)
11-10
均值不等式是数学中的一个重要公式。也是十分常见的一个考点。下面是由开云官方网页版编辑为大家整理的“均值不等式的推导过程有哪些”,仅供参考,欢迎大家阅读本文。
公式内容为Hn≤Gn≤An≤Qn,即调和平均数不超过几何平均数,几何平均数不超过算术平均数,算术平均数不超过平方平均数。
1、调和平均数:Hn=n/(1/a1+1/a2+...+1/an)
2、几何平均数:Gn=(a1a2...an)^(1/n)
3、算术平均数:An=(a1+a2+...+an)/n
4、平方平均数:Qn=√ (a1^2+a2^2+...+an^2)/n
这四种平均数满足Hn≤Gn≤An≤Qn 的式子即为均值不等式。
推导过程
关于均值不等式的证明方法有很多,数学归纳法(第一数学归纳法或反向归纳法)、拉格朗日乘数法、琴生不等式法、排序不等式法、柯西不等式法等等,都可以证明均值不等式,在这里简要介绍数学归纳法的证明方法:
(注:在此证明的,是对n维形式的均值不等式的证明方法。)
用数学归纳法证明,需要一个辅助结论。
引理:设A≥0,B≥0,则,且仅当B=0时取等号。
注:引理的正确性较明显,条件A≥0,B≥0可以弱化为A≥0,A+B≥0,有兴趣的同学可以想想如何证明(用数学归纳法)(或用二项展开公式更为简便)。
原题等价于:

当且仅当![]()
11-14
均值不等式作为常考题型之一,备考好此知识点非常重要,下面由开云官方网页版小编为你准备了“公务员行测数量关系备考:均值不等式”,仅供参考,持续关注本站将可以持续获取更多的内容资讯!
在每年的各类考试中,极值问题都是常考的一类题目,极值问题其实是非常简单的一类题目,只要掌握基本公式和结论。就能快速解题,下面小编就来带大家了解极值问题当中的一类问题—均值不等式。
什么是均值不等式
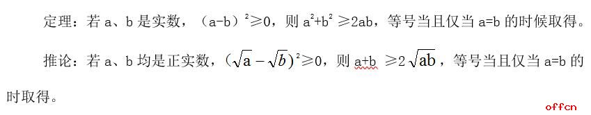
定理1:若a、b是实数,则
,等号当且仅当a=b时取得。推论1:若a、b是正实数,
,等号当且仅当a=b时取得。定理2:若a、b、c是正实数,则
,等号当且仅当a=b=c时取得。推论2:若a、b、c是正实数,则
,等号当且仅当a=b=c时取得。
均值不等式的应用
(1) 和一定,求积的最大值。
例1:3个自然数之和为14,它们的乘积的最大值是多少?
A.42 B.84 C.100 D.120
【答案】C。解析:三个数的和一定,要想使积最大,则需要使这几个数尽量接近,取5、5、4,所以积最大为100。C选项正确。
(2) 积一定,求和的最小值。
例2:若两个自然数的积为100,则这两个自然数和的最小值为多少?
A.10 B.20 C.30 D.40
【答案】B。根据
,可得这两个自然数的和
。所以,这两个自然数和的最小值为20。B选项正确。
例3:用18米...
做了许多行测模拟题还是没有有效的提升自己的分数?那是你没有掌握一些技巧和重点,下面由开云官方网页版小编为你精心准备了“行测数量关系技巧:均值不等式巧解极值问题”,持续关注本站将可以持续获取更多的考试资讯!
行测数量关系技巧:均值不等式巧解极值问题
极值问题在行测数学运算中被考察的几率很大,这类题目的解答方法比较多,对这类知识的考查也有可能会成为近几年的重点。下面就讲解一下均值不等式解极值问题的应用。
一、什么是均值不等式

二、均值不等式的应用
1、和一定,求积最大。
由上述推论可知,当正实数a、b的和为定值时,a与b的乘积可取到最大值,当且仅当a=b时取到。
【试题再现】某苗木公司准备出售一批苗木,如果每株以4元出售,可卖出20万株,若苗木单价每提高0.4元,就会少卖10000株。问在最佳定价的情况下,该公司最大收开云官方网页版是多少万元?
A.60 B.80 C.90 D.100
【答案】C。解析:总收开云官方网页版=售价×销量。设最佳定价在4元每株的基础上提高0.4x元,则销量会在20万株的基础上少卖x万株故。收开云官方网页版=(4+0.4x)×(20-x)=0.4(10+x)×(20-x)。求收开云官方网页版的最大值,即求(10+x)×(20-x)的最大值。因为(10+x)+(20-x)=30,即(10+x)与(20-x)的和一定,当且仅当10+x=20-x,x=5时,(10+x)×(20-x)取到最大值(10+5)×(20-5)=225,故公司最大收开云官方网页版为0.4×225=90万元,选C。
2、积一定,求和最小。
由上述推论可知,当正实数a、b的乘积为定值时,a与b的和可取到最小值,当且仅当a=b时取到。
【试题再现】某村民要在屋顶建造一个长方体无盖贮水池,如果池底每平方米的造价为150元,池壁每平方米的造价为120元,那么要造一个深为3米容积为48立方米的无盖贮水池最低造价是多少元?
A.6460 B.7200 C.8160 D.9600
【答案】C。解析:水池造价=池地造价+池壁造价。水池深3米、容积48米,设长和宽分别为a、b,有底面积ab=48÷3=16平方米,池壁面积为2×(3a+3b)。因此水池造价为:16×150+2×(3a+3b)×120=2400+720×(a+b)。要求水池最低造价,即求a+b的最小值。a、b积一定为16,和a+b可取得最小值,且a=b=4时取到。因此,最低造价为2400+720×(4+4)=2400+5760=8160元,选C。
推荐阅读:
任何一场考试取得成功都离不开每日点点滴滴的积累,下面由开云官方网页版小编为你精心准备了“行测数量关系:均值不等式求极值”,持续关注本站将可以持续获取更多的考试资讯!
行测数量关系:均值不等式求极值
在行测数量关系中常见的极值问题里,有一类是一元二次函数求最值,相信大家都是能够根据题意列出式子,难点就在于解这个式子,常规的就是采用高中所学的求根公式来进行解答,这个过程就会显得慢而且计算量偏大,所以今天就给大家介绍运用均值不等式来进行求解。
一、什么是极值问题
极值问题顾名思义,就是求极大值和极小值的问题,就是当题干或者问法中出现最大或最小,最多或最少,至多或至少等字眼时,那就是极值问题。
二、均值不等式
1. 什么是均值不等式

2. 均值不等式的应用

三、经典例题
【例题1】 某汽车坐垫加工厂生产一种汽车座垫,每套成本是144元,售价是200元。一个经销商订购了120套这种汽车座垫,并提出:如果每套座垫的售价每降低2元,就多订购6套。按经销商的要求,该加工厂获得最大利润需售出的套数是( )。
A.144 B.136 C.128 D.142
【解析】A。根据题目所求为获得最大利润需售出的套数,可知此题属于极值问题,根据题意,可设每套坐垫减价2x元,那么就会多订购6x套,利润为y,得:
y =(200-2x-144)x(120+6x),化简得:y =(56-2x)x(120+6x),要求y最大时的x,可以把(56-2x)看成一个整体a,(120+6x)看成一个整体b,就相当于求ab的最大值,根据均值不等式推论可知,当两个数的和一定,这两个数的积最大,所以去找到(56-2x)与(120+6x)的和一定即可,因为x的系数不同,所以要将x的系数化为相同两者之间的和才一定,所以可将(56-2x)提一个2,(120+6x)提一个6出来,让x的系数都为1,所以y =(56-2x)x(120+6x)=2 x(28-x)x 6 x(20+x),既原式变为y=12(28-x)(20+x),根据均值不等式和一定积最大,当且仅当(28-x)=(20+x)取等号,所以28-x=20+x得出x=4,既当坐垫降价8元时,能获得最大利润,所求获得最大利润售出套数为120+6x4=144,选A。
【例题2】某报刊以每本2元价格发行,可发行10万份,若该报刊单价提高0.2元,发行量减少5000份,...
开云官方网页版高考频道在考试后及时公布各科高考试题答案和高考作文及试卷专家点评,请广大考生家长关注。时光飞逝,暑假过去了,新学期开始了,不管情愿与否,无论准备与否,我们已走进高三,走近我们的梦!祝愿决战2014高考的新高三学员能倍加努力,在2014年高考中也能取得优异的成绩。
| 2013年部分省市高考试题汇总 | ||
|---|---|---|
| 2013江苏物理试题及答案解析 | 2013新疆理综试题答案 | 2013内蒙古理科试卷答案 |
| 2013宁夏理综试题及答案解析 | ||
均值不等式推荐访问