开云官方网页版专题频道盱眙中学栏目,提供与盱眙中学相关的所有资讯,希望我们所做的能让您感到满意! 江苏省盱眙中学创建于1920年,前身为安徽省立第九中学,是淮安市建校最早的县中,江苏省首批确认的95所重点中学之一,也是江苏省第一批通过验收的四星级高中。学校坐落于淮河之滨,洪泽湖之畔的第一山国家森林公园之中,依山傍水,风光秀丽,景色宜人,是全省唯一建在山顶上的重点中学。
06-14
面对机遇,不犹豫;面对抉择,不彷徨;面对决战,不惧怕!开云官方网页版高考成绩查询频道为大家提供2017年淮安市盱眙中学高考成绩,更多高考资讯请关注我们网站的更新!
| 2017淮安市盱眙中学高考成绩查询开云官方网页版口 |
小编提醒大家在考后关注2017全国各省高考成绩查询时间及系统汇总的同时密切关注
06-14
满池荷香绕,翩翩捷报到。馨香沁心脾,满面皆喜气。合家都欢乐,亲友同庆贺。街坊竖拇指,题名今日事。不忘勤付出,再踏求学路。心远志向高,来日成英豪。开云官方网页版高考成绩查询频道为大家提供2017年淮安市盱眙中学高考成绩,更多高考资讯请关注我们网站的更新!
| 2017淮安市盱眙中学高考成绩查询开云官方网页版口 |
小编提醒大家在考后关注2017...
06-14
满池荷花送清香,喜讯传来心荡漾。忧愁烦恼一扫光,笑容满面歌声扬。金榜题名愿得偿,再开云官方网页版学府知识长。祝你学成归来成栋梁,为国贡献做榜样!开云官方网页版高考成绩查询频道为大家提供2017年淮安市盱眙中学高考成绩,更多高考资讯请关注我们网站的更新!
| 2017淮安市盱眙中学高考成绩查询开云官方网页版口 |
小编提醒大家在考后关注2017全国各省高考...
06-12
骄阳拂照百花香,捷报似花绽芬芳。香气飘荡满心房,欢喜连连泪两行。不畏艰辛永攀登,十年付出梦想成。题名金榜好儿郎,再开云官方网页版名校书辉煌。开云官方网页版高考成绩查询频道为大家提供2016年淮安市盱眙中学高考成绩,更多高考资讯请关注我们网站的更新!
| 2016淮安市盱眙中学高考成绩查询开云官方网页版口 |
小编提醒大家在考后关注2016年高考成绩查询时间及方式的同时密切关注2016年高考分数线公布时间及开云官方网页版口,以便方便快速的了解2016年高考分数线公布时间及2016年高考分数线公布情况,大家可以关注
06-12
登科及第跃龙门,慎重选择再动身,专业前程关系大,把握专业学校查,多得几分把握高,专业选择如踟蹰,把握学校来操度,定了学校选专业,靠前专业优势大。开云官方网页版高考成绩查询频道为大家提供2016年淮安市盱眙中学高考成绩,更多高考资讯请关注我们网站的更新!
| 2016淮安市盱眙中学高考成绩查询开云官方网页版口 |
小编提醒大家在考后关注2016年高考成绩查询时间及方式的同时密切关注2016年高考分数线公布时间及开云官方网页版口,以便方便快速的了解2016年高考分数线公布时间及2016年高考分数线公布情况,大家可以关注
05-14
中考结束后,大家最想知道的就是中考成绩和中考分数线了,开云官方网页版中考频道第一时间为您提供2016淮安市盱眙中学中考录取分数线,更多中考资讯请关注我们网站的更新!
| 2016淮安市盱眙中学中考录取分数线发布开云官方网页版口 |
中考频道推荐访问:
06-30
开云官方网页版中考频道将在考后第一时间为大家提供2015年淮安市盱眙中学中考分数线,更多学校的中考分数线大家可以关注我们网站的更新。
中考频道推荐访问:
小编精心为您推荐:
| ... |
07-08
以下2014江苏省盱眙中学择校录取分数线由开云官方网页版中考频道为您精心提供,希望对您有所帮助。
2014江苏省盱眙中学择校录取分数线
我市四星级高中择校录取分数线已对外公布。其中江苏省淮阴中学择校分数线为702分,江苏省清江中学为根据该比例,四星级高中分别划定了择校分数线,江苏省淮安中学658分,江苏省涟水中学615分,江苏省金湖中学612分,江苏省盱眙中学675分,江苏省郑梁梅高中615分,江苏省淮洲中学635分,江苏省洪泽中学642分,江苏省马坝高中590分,淮安市清浦中学684分,淮安市清河中学664分,淮安市淮海中学618分。
中考网推荐访问:
07-11
2013年江苏省盱眙中学中考录取分数线
江苏省淮阴中学 715
江苏省清江中学 683
江苏省淮安中学 688
江苏省涟水中学 646
江苏省金湖中学 657
江苏省盱眙中学 691
江苏省郑梁梅高中 644
江苏省淮州中学 656
江苏省洪泽中学 669
江苏省马坝高中 600
淮安市清浦中学 619
淮安市清河中学 634
淮安市淮海中学 621
推荐阅读:
06-08
2012年05月23日 亲,很高兴访问《江苏省盱眙中学10-11学年高二上学期期末考试模拟测试卷数学二试题及答案》一文,也欢迎您访问出国留学(liuxue86.com)的高考频道,为您精心准备了2011高考数学日常练习的相关模拟考试试题内容!同时,我们正在加紧建设高考频道,我们全体编辑的努力全是为了您,希望您能在本次高考中能获得好的名次,以及考上满意的大学,也希望我们准备的《江苏省盱眙中学10-11学年高二上学期期末考试模拟测试卷数学二试题及答案》内容能帮助到您。在即将到来的高考上助您一臂之力!加油,童鞋!
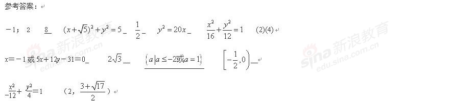
【出国留学liuxue86.com提供正确答案】
2012年05月23日 亲,很高兴访问《江苏省盱眙中学10-11学年高二上学期期末考试模拟测试卷数学二试题及答案》一文,也欢迎您访问出国留学(liuxue86.com)的高考频道,为您精心准备了2011高考数学日常练习的相关模拟考试试题内容!同时,我们正在加紧建设高考频道,我们全体编辑的努力全是为了您,希望您能在本次高考中能获得好的名次,以及考上满意的大学,也希望我们准备的《江苏省盱眙中学10-11学年高二上学期期末考试模拟测试卷数学二试题及答案》内容能帮助到您。在即将到来的高考上助您一臂之力!加油,童鞋!
【出国留学liuxue86.com提供正确答案】
2012年05月23日 亲,很高兴访问《江苏省盱眙中学10-11学年高二上学期期末考试模拟测试卷数学二试题及答案》一文,也欢迎您访问出国留学(liuxue86.com)的高考频道,为您精心准备了2011高考数学日常练习的相关模拟考试试题内容!同时,我们正在加紧建设高考频道,我们全体编辑的努力全是为了您,希望您能在本次高考中能获得好的名次,以及考上满意的大学,也希望我们准备的《江苏省盱眙中学10-11学年高二上学期期末考试模拟测试卷数学二试题及答案》内容能帮助到您。在即将到来的高考上助您一臂之力!加油,童鞋!
【出国留学liuxue86.com提供正确答案】
盱眙中学推荐访问