开云官方网页版专题频道2017成人高考数学栏目,提供与2017成人高考数学相关的所有资讯,希望我们所做的能让您感到满意!
07-08
开云官方网页版为大家提供“2017成人高考数学复习技巧:要多做题”供广大考生参考,更多资讯请关注我们网站的更新!
2017成人高考数学复习技巧:要多做题
考生胡波曾在北京成考专升本高等数学(一)科目考了满分。他认为数学做题不能光搞题海战术,一定要有系统性,并且多总结经验。参加考试前,在掌握课本基本知识点的前提下,他认真做了一本数学辅导习题集,感觉收获较大。他说,学数学要有耐心,这一点在解题时尤其重要。有的考生没能考出理想分数,并不是不会解题,而是粗心大意。有的考生遇到似曾相识的题时,粗略一看即判断会解,解题时马马虎虎,没看清一个细小的数字或符号变化,导致整道题失分。
通过做题,考生可以巩固教材中的知识点,又加深了对解题方法的记忆。平时学习中,跟随老师讲课进度,认真听讲的同时,考生要完成教材中每课的习题。这些习题与授课内容联系紧密,可促进对章节内容的理解,巩固对课本知识的掌握。考试中,基本题总是试卷的重点,无论从题量还是分数来看,都比难题要多。所以考生要扎扎实实掌握好基本点。考试主要考查考生对基本知识的掌握程度,不会出偏题、怪题刁难考生,只要平时注重练习基本题解法,一般就可在考试时发挥出水平。
成考复习中,并不是平常做题越多就越能考好,而要看做题质量。解题中,考生要认真解好每一步,加深对公式的应用和理解。如果拿到题不思考即开始解,即使能找出答案,这样的解题也没实际效果,反而适得其反,产生解题疲劳。
此外,很多在职考生以前上学时数学学得不好,除基础知识漏洞较多外,计算能力较差也是突出问题之一。某辅导校讲授数学的苏老师说,一些考生数学学不好的问题并非出在高中知识环节上,而是在初中环节,比如会出现二分之一加二分之一等于四分之一这类错误,严重影响考生的复习。因而建议考生除配备符合考试规定的计算器外,还要加强简单计算题的练习,因为诸如数列等知识还需考生动手运算,不能完全依赖计算器。做题这一过程本身也能帮助考生锻炼数学思维,有利于数学知识的学习。
...07-04
开云官方网页版现推出“2017年成人高考数学考试模拟考题二”供广大考生参考,更多资讯请关注我们网站的更新。
2017年成人高考数学考试模拟考题二
一、选择题:本大题共17个小题,每小题5分,共85分。在每小题给出的四个选项中,只有一项是符合题目要求的。
第1题

答案:C
第2题

答案:A
第3题

答案:C
第4题

答案:C
第5题 同时掷两枚硬币,两枚硬币朝上的币面图案一样的概率为()。
A.1/2 B.1/4 C.3/4 D.1
答案:A
第6题

答案:D
第7题

答案:B
第8题

答案:C
第9题

...
07-04
开云官方网页版现推出“2017年成人高考数学考试模拟考题一”供广大考生参考,更多资讯请关注我们网站的更新。
2017年成人高考数学考试模拟考题一
一、选择题:本大题共17个小题,每小题5分,共85分。在每小题给出的四个选项中,只有一项是符合题目要求的。
第1题

答案:D
第2题

答案:A
第3题

答案:C
第4题

答案:B
第5题

答案:D
第6题 由数字1,2,3,4,5组成无重复数字的二位奇数个数是
A.5 B.8 C.10 D.12
答案:D
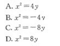
第7题 抛物线顶点在坐标原点,焦点在3,轴上,其上点P(m,-3)到焦点距离为5,则抛物线的方程为()

答案:C
第8题

答案:B
第9题
06-30
06-30
你还在为考试烦恼吗?你还在为如何提高分数苦恼吗?那就来开云官方网页版吧,小编为你整理了数学向量、偏导、全微分的知识要点哦,欢迎广大考生前来学习,希望你能轻松过考!
一、理论要求
1.向量代数理解向量的概念(单位向量、方向余弦、模)
了解两个向量平行、垂直的条件
向量计算的几何意义与坐标表示
2.多元函数微分理解二元函数的几何意义、连续、极限概念,闭域性质
理解偏导数、全微分概念
能熟练求偏导数、全微分
熟练掌握复合函数与隐函数求导法
3.多元微分应用理解多元函数极值的求法,会用Lagrange乘数法求极值
4.空间解析几何掌握曲线的切线与法平面、曲面的切平面与法线的求法
会求平面、直线方程与点线距离、点面距离
二、题型与解法

06-30
你还在为考试烦恼吗?你还在为如何提高分数苦恼吗?那就来开云官方网页版吧,小编为你整理了数学不定积分、定积分的知识要点哦,欢迎广大考生前来学习,希望你能轻松过考!
一、理论要求
1.掌握不定积分的概念、性质(线性、与微分的关系)
会求不定积分(基本公式、线性、凑微分、换元技巧、分部)
2.定积分理解定积分的概念与性质
理解变上限定积分是其上限的函数及其导数求法
会求定积分、广义积分
会用定积分求几何问题(长、面、体)
会用定积分求物理问题(功、引力、压力)及函数平均值
二、题型与解法

06-30
你还在为考试烦恼吗?你还在为如何提高分数苦恼吗?那就来开云官方网页版吧,小编为你整理了数学导数、微分相关的知识要点哦,欢迎广大考生前来学习,希望你能轻松过考!
理论要求
1.导数与微分导数与微分的概念、几何意义、物理意义
会求导(基本公式、四则、复合、高阶、隐、反、参数方程求导)
会求平面曲线的切线与法线方程
2.微分中值定理理解Roll、Lagrange、Cauchy、Taylor定理
会用定理证明相关问题
3.应用会用导数求单调性与极最值、凹凸性、渐进线问题,能画简图
会计算曲率(半径)

06-30
你还在为考试烦恼吗?你还在为如何提高分数苦恼吗?那就来开云官方网页版吧,小编为你整理了数学函数相关的知识要点哦,欢迎广大考生前来学习,希望你能轻松过考!
一、理论要求
1.函数概念与性质函数的基本性质(单调、有界、奇偶、周期)
几类常见函数(复合、分段、反、隐、初等函数)
2.极限极限存在性与左右极限之间的关系
夹逼定理和单调有界定理
会用等价无穷小和洛必达法则求极限
3.连续函数连续(左、右连续)与间断理解并会应用闭区间上连续函数的性质(最值、有界、介值)
二、题型与解法
A.极限的求法
(1)用定义求
(2)代开云官方网页版法(对连续函数,可用因式分解或有理化消除零因子)
(3)变量替换法
(4)两个重要极限法
(5)用夹逼定理和单调有界定理求
(6)等价无穷小量替换法
(7)洛必达法则与Taylor级数法
(8)其他(微积分性质,数列与级数的性质)

你还在为数学烦恼吗?你还在为如何提高分数苦恼吗?那就来开云官方网页版吧,小编为你整理了数学的难点、疑点哦,欢迎广大考生前来学习,希望你能轻松过考!
2017成人高考数学函数难点讲解分析
难点1 函数值域及求法
函数的值域及其求法是近几年高考考查的重点内容之一。主要帮助考生灵活掌握求值域的各种方法,并会用函数的值域解决实际应用问题。
●难点磁场
(★★★★★)设m是实数,记M={m|m>1},f(x)=log3(x2-4mx+4m2+m+ )。
(1)证明:当m∈M时,f(x)对所有实数都有意义;反之,若f(x)对所有实数x都有意义,则m∈M。
(2)当m∈M时,求函数f(x)的最小值。
(3)求证:对每个m∈M,函数f(x)的最小值都不小于1。
难点2 奇偶性与单调性(一)
函数的单调性、奇偶性是高考的重点内容之一,考查内容灵活多样。本节主要帮助考生深刻理解奇偶性、单调性的定义,掌握判定方法,正确认识单调函数与奇偶函数的图象。
●难点磁场
(★★★★)设a>0,f(x)= 是R上的偶函数,(1)求a的值;(2)证明: f(x)在(0,+∞)上是增函数。
难点3 奇偶性与单调性(二)
函数的单调性、奇偶性是高考的重点和热点内容之一,特别是两性质的应用更加突出。本节主要帮助考生学会怎样利用两性质解题,掌握基本方法,形成应用意识。
●难点磁场
(★★★★★)已知偶函数f(x)在(0,+∞)上为增函数,且f(2)=0,解不等式f[log2(x2+5x+4)]≥0。
●案例探究
[例1]已知奇函数f(x)是定义在(-3,3)上的减函数,且满足不等式f(x-3)+f(x2-3)<0,设不等式解集为A,B=A∪{x|1≤x≤ },求函数g(x)=-3x2+3x-4(x∈B)的最大值。
难点4 指数函数、对数函数问题
指数函数、对数函数是高考考查的重点内容之一,本节主要帮助考生掌握两种函数的概念、图象和性质并会用它们去解决某些简单的实际问题。
●难点磁场
(★★★★★)设f(x)=log2 ,F(x)= +f(x)。
(1)试判断函数f(x)的单调性,并用函数单调性定义,给出证明;
(2)若f(x)的反函数为f-1(x),证明:对任意的自然数n(n≥3),都有f-1(n)> ;
(3)若F(x)的反函数F-1(x),证明:方程F-1(x)=0有惟一解。
02-17
开云官方网页版成人高考栏目小编们精心为广大考生准备了“2017成人高考数学备考方法”,各位同学赶快学起来吧,做好万全准备,祝各位同学考试顺利通过。
考生胡波曾在北京成考专升本高等数学(一)科目考了满分。他认为数学做题不能光搞题海战术,一定要有系统性,并且多总结经验。参加考试前,在掌握课本基本知识点的前提下,他认真做了一本数学辅导习题集,感觉收获较大。他说,学数学要有耐心,这一点在解题时尤其重要。有的考生没能考出理想分数,并不是不会解题,而是粗心大意。有的考生遇到似曾相识的题时,粗略一看即判断会解,解题时马马虎虎,没看清一个细小的数字或符号变化,导致整道题失分。
通过做题,考生可以巩固教材中的知识点,又加深了对解题方法的记忆。平时学习中,跟随老师讲课进度,认真听讲的同时,考生要完成教材中每课的习题。这些习题与授课内容联系紧密,可促进对章节内容的理解,巩固对课本知识的掌握。考试中,基本题总是试卷的重点,无论从题量还是分数来看,都比难题要多。所以考生要扎扎实实掌握好基本点。考试主要考查考生对基本知识的掌握程度,不会出偏题、怪题刁难考生,只要平时注重练习基本题解法,一般就可在考试时发挥出水平。
成考复习中,并不是平常做题越多就越能考好,而要看做题质量。解题中,考生要认真解好每一步,加深对公式的应用和理解。如果拿到题不思考即开始解,即使能找出答案,这样的解题也没实际效果,反而适得其反,产生解题疲劳。
此外,很多在职考生以前上学时数学学得不好,除基础知识漏洞较多外,计算能力较差也是突出问题之一。某辅导校讲授数学的苏老师说,一些考生数学学不好的问题并非出在高中知识环节上,而是在初中环节,比如会出现二分之一加二分之一等于四分之一这类错误,严重影响考生的复习。因而建议考生除配备符合考试规定的计算器外,还要加强简单计算题的练习,因为诸如数列等知识还需考生动手运算,不能完全依赖计算器。做题这一过程本身也能帮助考生锻炼数学思维,有利于数学知识的学习。
...2017成人高考数学推荐访问