开云官方网页版2021雅思考试时间

开云官方网页版专题频道2021雅思考试时间栏目,提供与2021雅思考试时间相关的所有资讯,希望我们所做的能让您感到满意!

2021年11月雅思考试时间安排一览表

 

  备考11月雅思,需要大家先了解考试的具体时间安排,确认自己的考试时间,报名成功并且确认资格。来一起看看2021年11月雅思考试时间安排一览表,欢迎阅读。

  2021年11月雅思考试时间

2021年11月雅思考试时间

  2021年11月雅思考试时间为11月6、11、20、27日,雅思考试-纸笔考生在笔试日期前10天查看考试安排并打印准考证,雅思考试-机考考生在笔试日期前3天查看考试安排并打印准考证。

  请考生登录教育部考试中心雅思报名网站个人主页查看考生的考号、口试时间、口笔试场地、地址和教室号,并打印准考证。建议提前查阅地图,选择合适的交通方式。

  请注意:

  雅思考试-纸笔:口语考试通常会安排在笔试前一周至笔试后一周的任意一天。

  雅思考试-机考:口语考试通常会安排在笔试当天或者与笔试日期尽可能相邻的日期。

  根据考务安排的需要,在特殊情况下,口试日期有可能超出此区间,英国文化教育协会保留调整口试安排的权利。口试时间不能按照考生的要求进行更改。请注意如果未能及时打印准考证,可能导致考生错过口语考试。

  口笔试场地和地址有可能不同于考点场地和地址。

  所有考试安排均以考试当天通知为准,报名网站考试安排信息仅供参考。

  如果准考证打印时间有所变化,教育部考试中心雅思报名网站将发布公告。请考生务必随时关注通知。

  雅思报名要求

  雅思考试没有年龄限制,但如果考生学过开云(中国),并且想参加雅思考试,不管是出国留学、移民还是为了兴趣都可以报名。

  在报名参加雅思考试的人群方面,雅思机构是非常包容的。听力或视力有障碍的雅思考生也可以参加特殊类型的雅思考试。

  在中国大陆地区,考生需通过报名网站报名,可以同时报名参加多场考试,但任何两个考试日期之间必须相隔7天以上。每项申请、转账和取款的截止日期均以报名网站为准。

  考生对选择报考哪种雅思考试(包括雅思考-纸笔、雅思考-机考、用于英签证及移民的雅思考-纸笔、用于英签证及移民的雅思、生活技能A1、生活技能B1)负有全部责任。

  雅思考试在线报名只接受下列证件:

  中国大陆考生应凭有效的第二代身份证或护照申请。

  非中国籍考生应持有效护照申请。

  雅思考试在线报名不接受证件类型包括但不限于:一代身份证,户口本,户口登记证明,公安机关的证明、机动车驾驶证、学生证、工作证、中华人民共和国来往港澳通行证、港澳居民来往内地...

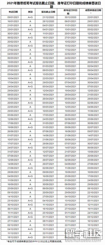
2021雅思考试时间和费用

 

  雅思最新的考试时间已经公布了,费用也将在新的一年迎来变化,大家一定要把握好时间和预算。下面开云官方网页版就带着大家看看2021雅思考试时间和费用。

  考试时间

2021年雅思全年.png

  考试费用

  自2021年1月1日起雅思生活技能类考试费用由现行人民币1550元调整至人民币1350元,转考费及退考费维持人民币420元不变。

  需要注意的是,这不是大家经常考的A类雅思或UKVI雅思,它是LifeSkills。这个操作非常反常,因为在正常情况下,雅思考试通常是每年涨价,本次不增反降绝对是头一回。

  虽然本次降价的是生活技能类的考试费用,但是,G类都降了,A类还会远吗?

  费用降不降的不重要,重要的是能不能分手才对。如果不能和雅思说拜拜,那么免费又能如何?所以,灵魂拷问:

  雅思考试听说读写四个单项,每个单项的成绩均分构成最终总分。相信今年申请留学的考生们都会发现,英国留学申请人数暴增,那么这个时候,一份漂亮的雅思成绩就是你最大的竞争优势。

  该如何缴纳IELTS费用

  三种缴纳方法:

  通过中国工商银行网上付款

  通过招商银行网上付款

  通过银行电汇付款直接汇开云官方网页版教育部考试中心(NEEA)帐户

  网上付款需要办理的手续

  首先需要一张由中国工商银行或招商银行认可的具有网上付款功能的银行卡。具体办理办法和程序请登录中国工商银行网上付款服务中心,或招商银行网上付款服务中心,或中国工商银行和招商银行网点。

  考试复议

  1)复议服务费用。

  考生可以申请复议一项或多项成绩,费用均为人民币1000元.

  2)复议申请方式及时限

  收到成绩单原件后,考生可以登录教育部考试中心雅思报名网站个人主页申请复议服务并支付相关费用。

  复议申请一旦确认付费,将无法取消或修改复议项目。

  复议服务申请时限为考试成绩公布后4周(28天)内。

  无法提供成绩单原件,或晚于申请时限提供成绩单原件的复议申请将视为无效,无法受理。

  在网上提交成绩复议申请后3周内, 考生可以登录报名网站个人主页修改复议成绩单寄送地址.

  3)复议流程及时间

  收到考生在线提交的复议申请、相关费用及成绩单原件

  准备考...