开云官方网页版专题频道吉林省一级造价工程师考试成绩合格名单栏目,提供与吉林省一级造价工程师考试成绩合格名单相关的所有资讯,希望我们所做的能让您感到满意!
03-27
各位考生注意了!2022年一级造价工程师考试成绩合格人员名单已经出来了,各位考生可以来看看哦。相关的名单已整理在下文了,有需要的考生关注一下!下面是开云官方网页版整理的“2022年一级造价工程师考试成绩合格人员名单”,供考生参考阅读。
| 序号 | 考生姓名 | 身份证号 | 报考专业 |
| 1 | 谭婉婷 | 152324********0821 | 土木建筑工程 |
| 2 | 杨红波 | 220221********8617 | 安装工程 |
| 3 | 张杰 | 220203********3927 | 土木建筑工程 |
| 4 | 于春明 | 2201... |
03-25
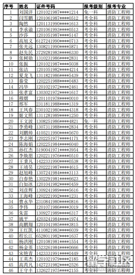
各位考生注意了!2022年度一级注册消防工程师资格考试成绩合格人员名单已经出来了,请各位考生熟知。相关的名单已整理在下文了,吉林省的考生来看看吧!下面是开云官方网页版整理的“吉林省2022年一级注册消防工程师考试成绩合格人员名单”,供考生参考阅读。
| 序号 | 考生姓名 | 身份证号 | 报考专业 |
| 1 | 赵厚臣 | 222404********3016 | 消防工程师 |
| 2 | 王媛媛 | 152201********102X | 消防工程师 |
| 3 | 宁宁 | 210102********344X | 消防工程师 |
| 4 | 刘悦 |
03-23
各位考生注意了!2022年一级造价工程师职业资格考试成绩合格名单已经出来了,有需要的考生可以来看看哦下面是开云官方网页版整理的“2022年天津市一级造价工程师考试成绩合格名单”,供考生参考阅读。

【提醒】以上为部分名单,具体名单见附件
附件:2022年度一级造价工程师职业资格考试成绩合格、拟取得资格证书人员名单.pdf
推荐阅读:
...03-04
江西省人事考试中心3月1日公布了江西省2022年一级消防工程师考试成绩合格及拟取得资格证书人员名单,详细的名单内容见下文,下面是开云官方网页版整理的“江西省2022年度一级注册消防工程师资格考试全部科目成绩合格、拟取得资格证书人员公示”,欢迎大家参考阅读。
根据《司法部关于印发开展证明事项告知承诺制试点工作方案的通知》(司发通〔2019〕54号)、人力资源和社会保障部人事考试中心关于印发《专业技术人员职业资格考试报名证明事项告知承诺制工作规程》的通知(人考中心函〔2021〕1号)及人力资源社会保障部办公厅关于印发《专业技术人员职业资格考试考务工作规程》的通知(人社厅发〔2021〕18号)的规定和要求,现将江西省2022年度一级注册消防工程师资格考试全部科目成绩合格、拟取得资格证书人员予以公示,共661人(名单附后)。
名单所列人员在考试报名时均签署了《专业技术人员资格考试报名证明事项告知承诺制报考承诺书》,承诺符合告知的考试报名条件,承诺所填报和提交的所有信息真实、准确、完整、有效,愿意承担虚假承诺的责任,并接受相应处理。
公示期为2023年3月2日至2023年3月11日。
公示期间集中接受对成绩合格人员的监督举报,举报人需实名并留下联系方式,可采取电话的方式提供具体事实、情节和证据。对虚假承诺行为,一经查实,将按相关规定处理。
举报电话:12333
附件:1.2022年度一级注册消防工程师资格考试全部科目成绩合格、拟取得资格证书人员名单.xls
江西省人事考试中心
2023年3月1日
江西省2022年度一级注册消防工程师资格考试全部科目成绩合格、拟取得资格证书人员名单 | |||
| 序号 | 姓名 | ||
01-17
下面是开云官方网页版整理的“2017年吉林造价工程师考试成绩合格标准公布”,欢迎阅读参考,更多有关内容请继续关注本网站造价工程师栏目。
2017年吉林造价工程师考试成绩合格标准公布
2017年吉林造价工程师合格标准公布如下:

造价工程师考试频道推荐阅读:
03-09
天津市人事考试相关管理部门公示了天津市2022年一级消防工程师资格考试成绩合格人员名单,完整的名单内容如下,下面是开云官方网页版整理的“天津市关于2022年度一级注册消防工程师资格考试成绩合格、拟取得资格证书人员公示”,欢迎大家参考阅读。
根据《司法部关于印发开展证明事项告知承诺制试点工作方案的通知》(司发通〔2019〕54号)、《人力资源社会保障部办公厅关于印发<人力资源社会保障系统开展证明事项告知承诺制试点工作实施方案>的通知》(人社厅发〔2019〕71号)及《人力资源社会保障部人事考试中心关于印发<专业技术人员资格考试报名证明事项告知承诺制试点工作实施方案>的通知》(人考中心函〔2019〕26号)的规定和要求,现将2022年度一级注册消防工程师资格考试成绩合格、拟取得资格证书人员予以公示,共520人(名单附后)。
下列人员在考试报名时均签署了《专业技术人员资格考试报名证明事项告知承诺制报考承诺书》,承诺符合告知的考试报名条件,承诺所填报和提交的所有信息真实、准确、完整、有效,愿意承担虚假承诺的责任,并接受相应处理。
公示期为2023年3月8日至2023年3月17日。
公示期间天津市人才考评中心集中接受对成绩合格、拟取得考试成绩合格证明人员的监督举报,进行调查,对虚假承诺行为,一经查实,将按相关规定处理。
举报电话:23394926(公休日、法定节假日除外)
举报邮箱:tjkpzxgs@tj.gov.cn
附:2022年度一级注册消防工程师资格考试成绩合格、拟取得资格证书人员名单
2023年3月7日



12-18
下面是开云官方网页版整理的“2017年造价工程师考试成绩合格标准”,欢迎阅读参考,更多有关内容请密切关注本网站造价工程师栏目。
2017年造价工程师考试成绩合格标准
2017年造价工程师考试合格标准于2018年1月份公布,根据历年造价工程师分数线划定标准,2017年造价工程师合格标准个科目参考如下:
| 科目名称及专业类别 | 分数线 | 试卷满分 |
| 建设工程计价 | 72 | 120 |
| 案例分析 |
11-10
关于深圳市及珠海市2022年二级造价工程师职业资格考试成绩合格人员名单已经公布出来了,详细的合格名单内容已整理如下,下面是开云官方网页版整理的“广东省深圳、珠海考区2022年度二级造价工程师职业资格考试成绩合格人员名单公示”,欢迎大家参考阅读。
根据《人力资源社会保障部办公厅关于印发<专业技术人员职业资格考试考务工作规程>的通知》(人社厅发〔2021〕18号)、广东省人力资源和社会保障厅办公室《关于印发实行告知承诺制证明事项清单的通知》(粤人社办〔2021〕8号)及告知承诺制相关要求,现对广东省深圳、珠海考区2022年度二级造价工程师职业资格考试(补考)成绩合格人员予以公示,共1004人(详见附件1)。
一、公示时间
2022年11月10日至2022年11月23日。
二、受理举报部门
按照属地管理原则,对深圳、珠海考区考生的举报,由考生报名所在地市人事考试机构受理(深圳、珠海人事考试机构咨询服务电话见附件2)。
附件1-广东省深圳、珠海考区2022年二级造价工程师职业资格考试成绩合格人员名单
附件2-深圳、珠海人事考试机构咨询服务电话
广东省人事考试局
2022年11月10日


完整名单点击下载:广东省深圳、珠海考区2022年二级造价工程师职业资格考试成绩合格人员名单.xls
吉林省一级造价工程师考试成绩合格名单推荐访问