开云官方网页版专题频道昆明一中栏目,提供与昆明一中相关的所有资讯,希望我们所做的能让您感到满意!
2016昆明一中第八次适应性考试于5月19-20日考试,为方便同学们估分,开云官方网页版高考网小编整理了2016昆明一中第八次适应性考试理数试题及答案,供同学们参考。








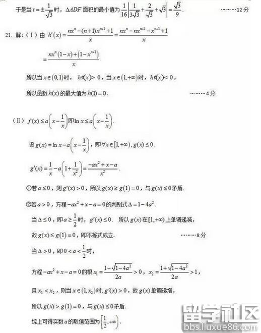
2016昆明一中第八次适应性考试于5月19-20日考试,为方便同学们估分,开云官方网页版高考网小编整理了2016昆明一中第八次适应性考试文数试题及答案,供同学们参考。







05-14
中考结束后,大家最想知道的就是中考成绩和中考分数线了,开云官方网页版中考频道第一时间为您提供2016年昆明一中中考录取分数线,更多中考资讯请关注我们网站的更新!
| 2016年昆明一中中考录取分数线发布开云官方网页版口 |
中考频道推荐访问:
07-21
2015年昆明一中中考择校生信息采集开云官方网页版口目前开放,各位考生和家长在拿到中考成绩通知单后,可以登录昆明一中学校网站,登记相关信息,完成报名。
系统关闭时间2015年7月24日晚上23:59分,过时不再受理。
>> 点击进开云官方网页版:昆明一中中考择校生信息采集开云官方网页版口 <<
小编精心为您推荐:
06-30
中考已经落下帷幕,那么中考分数线什么时候公布?开云官方网页版中考频道第一时间为您提供2015昆明一中中考分数线,大家可以参考一下,更多中考资讯请关注我们网站的更新!
中考频道推荐访问:
小编精心为您推荐:
昆明一中推荐访问