开云官方网页版专题频道矿业工程实务真题栏目,提供与矿业工程实务真题相关的所有资讯,希望我们所做的能让您感到满意!
04-26
开云官方网页版二级建造师频道为您提供2013年二级建造师矿业工程实务真题及答案(案例题),2016年二级建造师考试备考的考生们可以适当做些真题,预祝各位二级建造师的考生们都能顺利通过考试。更多二级建造师试题、考点、考试资讯请持续关注本频道的更新。
2013年二级建造师矿业工程实务真题及答案(案例题)
三、案例分析题(共4题,每题20分)
31、(一)背景资料
某施工单位中标一选矿厂工程。该工程采用工程量清单计价,分部分项工程费l600万元,措施项目费l80万元,安全文明施工费38万元,其他项目费用20万元,规费45万元,税金62.9万元。
合同约定,当分部分项工程量增加(减少)幅度在5%以内,执行原有综合单价;工程量增加幅度大于5%时,按原清单综合单价的0.9倍结算;工程量减少幅度大于5%时,按原清单综合单价的1.1倍结算。
基础工程施工时,为确保工程安全性和可靠性,施工单位针对现场实际情况,将施工
方案中的基坑降水深度5.1m增加到6.Om,由此多投开云官方网页版措施项目费7万元。
工程结算时,经现场测量,A、B分部分项工程量变化如下表:
| 分部分项工程 |
A
|
B
|
|
清单综合单价(元/m3)
|
42
|
56
|
04-26
开云官方网页版二级建造师频道为您提供2013年二级建造师矿业工程实务真题及答案(选择题),2016年二级建造师考试备考的考生们可以适当做些真题,预祝各位二级建造师的考生们都能顺利通过考试。更多二级建造师试题、考点、考试资讯请持续关注本频道的更新。
2013年二级建造师矿业工程实务真题及答案(选择题)
一、单项选择题(共20题,每题1分。每题的备选项中,只有1个最符合题意)
1、矿业工程施工测量时,用以测定地理方位角的仪器是( )。
A.经纬仪
B.水准仪
C.钢尺
D.陀螺经纬仪
2、有利于提高混凝土抗变形能力的措施是( )。
A.增加水泥用量
B.加强早期养护
C.提高砂率
D.增加搅拌时间
3、下列岩石中,不属于变质岩的是( )。
A.石灰岩
B.石英岩
C.片麻岩
D.板岩
4、下列巷道支护形式,属于积极支护的是( )。
A.可缩性金属支架
B.锚注支护
C.砌碹支护
D.现浇混凝土支护
5、可用于瓦斯及煤尘突出矿井的炸药是( )。
A.3级煤矿许用炸药
B.乳化炸药
C.水胶炸药
D.铵油炸药
6、钢筋混凝土井塔爬模施工法的特点是( )。
A.起重机吊装工作量大
B.施工精度高、质量好
C.因分层施工而结构整体性差
D.爬升时无需支承杆
7、地基处理时,用于深层搅拌的施工工艺可分为( )。
A.旋喷桩和定喷桩
B.粉喷桩和旋喷桩
C.水喷桩和粉喷桩
D.定喷桩和水喷桩
8、地下连续墙施工所使用的护壁泥浆主要成分是水、掺合物和( )。
A.砂土
B.水泥
C.石灰
D.膨润土
9、不需要临时支护的立井井筒施工作业方式是( )。
A.短段单行作业
B.长段平行作业
C.长段单行作业
D.短段平行作业
10、岩巷施工中,效果最佳的通风方式是( )。
A.压开云官方网页版式通风
B.抽出式通风
C.混合式通风
D.压气引射器通风
11、主井井筒与装载硐室一次施工,其特点是( )。
A.工期较短
B.工艺复杂
C.安全性差
03-26
2016年一级建造师矿业工程备考的考生们看过来,开云官方网页版一级建造师频道为您提供了2014年一级建造师矿业工程实务真题及答案详解,希望对大家的复习有所帮助,更多一级建造师试题以及考试资讯请关注本频道。
2014年一级建造师矿业工程实务真题及答案详解
一.单选题
1.矿井定向就是( )
A.确定井下巷道的方向,
B.将矿区地面平面坐标系统传递到井下,
C.进行两个立井的贯通测量 ,
D.采用水准测量导开云官方网页版平面坐标系统,
答案:B
解析:P3,将矿区地面平面坐标系统和高程系统传递到井下的测量,称为联系测量。平面联系测量也简称为定向。高程联系测量也简称为导开云官方网页版高程。顾名思义,联系测量就是使地面和井下测量控制网采用同一坐标系统。
此题考核基本概念。
2.关于矿图中等高线和地质构造的认识,正确的是( )。
A.等高线发生弯曲表示矿体倾角发生变化
B.**等高线缺失可能是出现逆断层
C.有陷落柱构造可能造成底板等高线缺失
D.褶曲使等高线更加密集
答案:C
解析:P26。等高线发生弯曲表示矿体走向发生变化。等高线密集程度发生变化,表示矿体倾角发生变化。
如岩板等高线发生弯曲,一般说明是有褶曲构造;如岩层底板等高线出现中断或错开,则可能是由于陷落柱.断层等到地质构造而引起的。
正断层表现为等高线缺失;逆断层表现为等高线重叠,重叠部分为上下盘同一层岩体的重叠区。
3.关于混凝土的说法,正确的( )。
A.混凝土拌合时必须掺开云官方网页版一定量的外加剂
B.符合标准的生活饮用水可拌制各种混凝土
C.良好的骨料级配有利于控制混凝土的质量,但不利于节约水泥
D.泵送混凝土宜选用细砂
答案:B
解析:P25,在混凝土拌合时或拌合前还可以掺开云官方网页版一定量的外加剂,以改善混凝土的性能。良好的骨料级配是控制混凝土质量.便于施工又节省水泥的重要条件。
P26,一般符合国家标准的生活饮用水,可直接用于拌制各种混凝土。
对于泵送混凝土用砂,宜选用中砂。
此题综合性较强。
4.采用矿物密度(比重)分选矿物的方法是( )。
A.重选法
B.浮选法
C.化学分选法
D.磁选法
答案:A
解析:P50,重选法是根据矿物相对密度(过去称比重)的差异来分选矿物。
浮选即泡沫浮选,是经浮选药剂处理,使有用矿物选择性地附着在气泡上,达到分选的目的。
其他两种选法教材没有介绍。不是正确选项。
5.适用于处理砂土和粉土地基的方法是( )。
<...03-25
开云官方网页版二级建造师频道为您提供2015年二级建造师《矿业工程实务》真题及答案(案例题),2016年二级建造师考试备考的考生们可以适当做些真题,预祝各位二级建造师的考生们都能顺利通过考试。更多二级建造师试题、考点、考试资讯请持续关注本频道的更新。
2015年二级建造师《矿业工程实务》真题及答案(案例题)
三、案例题(共计4题,每题20分。请根据背景材料,按要求作答)
【案例1】
1.背景
某施工单位承接了一铅锌矿的主要运输巷道施工,该巷道围岩比较坚硬,施工队为加快施工进度,采用减少炮眼数目、缩短钻眼时间、增大装药量的方法进行爆破掘进。工程实施后发现,巷道表明严重不平整,为达到验收要求,只能局部加大喷射混凝土的厚度,造成工程成本的增加。
2.问题
(1)巷道掘进对钻眼爆破工作有何要求?
(2)巷道光面爆破的质量标准是什么?
(3)喷射混凝土支护巷道的质量要求是什么?
(4)作为项目经理应当如何处理施工队的不正确做法?
【案例2】
1.背景
某施工单位承担了一矿山井巷工程,同业主签定了建设施工合同,合同约定工期15个月,开工日期为2005年11月1日,竣工日期为2007年1月31日。工期奖惩额为5000元/天,工程保修期1年。
在施工过程中,由于发生地质条件变化,建设单位进行设计变更,影响工期10天;由于雨季影响材料进场,影响工期5天;工程累计停电20天;在施工过程中由于冒顶事故导致2人当场死亡,影响工期10天;由于项目工期紧,井下一机电硐室未经验收建设单位就投开云官方网页版使用;该工程竣工日期为2007年2月20日。
2.问题
(1)本工程发生的人身伤害事故按事故发生的原因和事故后果严重程度分属什么类别的事故?
(2)根据《中华人民共和国矿山安全法实施条例》,本起伤亡事故处理时限是如何规定的?
(3)施工单位是否应该承担该工程延误的责任?应该如何计算工期延误的奖惩数额?
(4)该机电硐室未经验收便投开云官方网页版使用,其质量问题施工单位是否应当承担质量责任?应该如何处理?
【案例3】
1.背景
某炼钢厂综合楼建筑面积2900m2,总长41.3m,总宽13.4m,高23.65m,为5层现浇框架结构,柱距4m×9m,4m×5m,共两跨,基础为钢筋混凝土灌注桩基,主体结构采用C20混凝土,砖砌填充墙,在主体结构施工过程中,3层混凝土部分试块强度达不到设计要求,但对实体强度测试论证,能够达到设计要求。
2.问题
(1)该质量问题是否需处理,为什么?
(2)如果该混凝土强度经测试论证达不到要求,是否需处理?采用什么处理方法?
(3)简述质量事故处理方案的类型。
(4)针对工程项目的质量问题,现场常用的质...
03-25
开云官方网页版二级建造师频道为您提供2015年二级建造师《矿业工程实务》真题及答案(选择题),2016年二级建造师考试备考的考生们可以适当做些真题,预祝各位二级建造师的考生们都能顺利通过考试。更多二级建造师试题、考点、考试资讯请持续关注本频道的更新。
2015年二级建造师《矿业工程实务》真题及答案(选择题)
一、单选题(共计20题,每题1分。每题的备选项中,只有1个最符合题意)
1.矿业工程施工中,不论何种井巷贯通,均需事先算出贯通测量的几何要素,它是指( )。
A. 贯通巷道中心线的坐标和坡度
B. 贯通巷道腰线的坐标和坡度
C. 贯通巷道中心线的坐标方位角、贯通巷道腰线的倾角(坡度)和贯通距离
D. 贯通巷道的距离
2.下列不属于提高混凝土耐久性的措施的是( )。
A. 根据工程所处环境和工程性质不同选用合适的水泥品种
B. 尽量减小水灰比
C. 采用高强度石子
D. 采用级配好且干净的骨料
3.建筑钢材作为主要的受力结构材料,其主要的力学性能有( )。
A. 抗拉性能、抗压性能、抗剪性能
B. 抗拉性能、抗压性能、抗冲击性能
C. 抗拉性能、抗压性能、抗疲劳性能
D. 抗拉性能、抗冲击性能、耐疲劳性能及硬度
4.下列水泥品种中适合拌制严寒地区水位升降范围内混凝土是( )。
A. 较高等级的普通水泥
B. 复合水泥
C. 火山灰质水泥
D. 矿渣水泥
5.下列不属于井巷涌水量预测基本方法的是( )。
A. 水文地质比拟法
B. 地下水动力学法
C. 涌水量与水位降深曲线法
D. 比较分析法
6.下列属于改善岩性防治滑坡的措施的是( )。
A. 爆破滑动面
B. 减重或削坡
C. 压坡脚
D. 抗滑桩
7.井巷工程中,锚注支护主要应用于( )。
A. 不稳定岩层,或者松软破碎岩层中的巷道
B. 稳定岩层
C. 稳定巷道
D. 采区巷道
8.煤矿许用炸药按其瓦斯安全性分为5级,最适合于高瓦斯和煤尘突出的矿井的煤矿许用炸药是( )。
A. 1级煤矿许用炸药
B. 2级煤矿许用炸药
C. 3级煤矿许用炸药
D. 5级煤矿许用炸药
9.下面哪条不是露天矿山爆破中提高爆破安全性的措施( )。
A. 采用多排孔微差爆破
B. 采用多排孔微差挤压爆破
01-29
2016年一级建造师备考的考生们看过来,开云官方网页版一级建造师频道为您提供了2014年一建《矿业工程实务》真题及答案(案例题),希望对大家的复习有所帮助,更多一级建造师试题以及考试资讯请关注本频道。
2014年一建《矿业工程实务》真题及答案(案例题)
一、背景资料
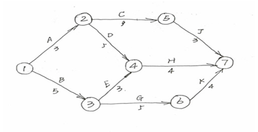
某施工单位承担一矿井采区巷道的施工任务,建设单位要求的工期为15个月,施工单位根据该矿井采区巷道的关系,编制了采区巷道施工网络进度计划(如图1所示),安排了4个施工队伍进行施工,各施工队伍的施工内容分别为:甲队A、 C、J,乙队:B、G、K,丙队D、H,丁队:E。

图1采区巷道施工网络进度计划
监理单位在审查施工单位进度计划时发现其施工队伍安排不合理,建议只安排3个施工队伍,将J队的施工任务交由丙队去完成,施工单位通过研究,采纳了监理的意见。
在施工进行到12个月末检查发现,甲队施工进度超前,C工程已完成,且J工程已施工1个月,乙队因遇含水地层施工进度拖延,G工程完成,K工程尚未开始,丙队施工进度正常。
问题
1、施工单位编制的原网络进度计划计算工期是多少?为确保工期施工中应重点控制哪些工程?
2、针对监理单位的建议,施工单位应如何调整丙队的施工任务安排?
3、针对G工程施工中出现的突出水事故,说明施工单位可获得索赔的具体内容及理由。
4、乙队施工进度发生拖延后,如果施工进度不变,考虑K工程可安排对头掘进,则应当如何安排方能确保建设单位的施工工期要求?
答案
1、施工单位编制的原网络进度计划计算工期是15天。为确保工期施工中应重点控制A、C、J工程或答成①--②、②--⑤、⑤--⑦。
2、监理单位建议只安排3个施工队伍,将J队的施工任务交由丙队去完成,故丙队施工任务是D、E、H。施工顺序为D—E—H。
3、针对G工程施工中出现的突出水事故,如在建设单位提供的地质资料中已明确,则施工单位不能索赔费用和工期。如在建设单位提供了地质资料中没有明确,则可索赔。可索赔内容包括工期和费用。
原因是此突出水事故不是施工单位原因,所以给施工单位造成费用增加和工期损失是可以索赔的。
4、乙队在12月末完成G工作,施工进度拖延2个月,乙队独立完成K工作(4个月),需工期16个月,比要求工期增加1个月。因甲队可提前一个月完成任务,且K工作可对头掘进。甲队用1个月时间施工K工程。这样乙队用3个月完成K工程。总工期15个月不变。可满足建设单位的施工工期要求。
二、背景资料
某煤矿一主要运输大巷,采用锚杆喷射混凝土支护,设计锚杆的间排距为800&tim...
01-29
2016年一级建造师备考的考生们看过来,开云官方网页版一级建造师频道为您提供了2014年一建《矿业工程实务》真题及答案(选择题),希望对大家的复习有所帮助,更多一级建造师试题以及考试资讯请关注本频道。
2014年一建《矿业工程实务》真题及答案(选择题)



一级建造师频道推荐阅读:
2016年一级建造师各科模拟试题及答案汇总
你知道矿业工程实务考点“施工质量检查”吗?想考二级建造师矿业工程实务的考生们注意了,跟着开云官方网页版二级建造师频道来了解一下吧,更多二级建造师矿业工程实务考点请关注本频道。
2016年二级建造师《矿业工程实务》考点:施工质量检查
1.如何组织矿业工程的质量验收?
矿业工程的质量验收按照层次可以分为: 检验批及分项工程的验收、分部工程验收和单位工程的验收,各自的质量验收程序不同。
(1)检验批及分项工程的验收。由专业监理工程师组织项目专业质量检验员等进行验收,分项工程由专业监理工程师组织项目专业技术负责人等进行验收。验收前,施工单位先填好“检验批和分项工程的质量验收记录”,并由项目专业质量检验员和项目专业技术负责人分别在检验批和分项工程质量检验中签字,然后由监理工程师组织,严格按规定程序进行验收。
(2)分部工程验收。应由总监理工程师(建设单位项目负责人)组织施工单位项目负责人和项目技术、质量负责人等进行验收。
(3)单位工程的验收。分为竣工初验和正式验收两个环节。当建设工程达到竣工条件后,施工单位应在自查、自评工程完成后填写工程竣工报验单,并将全部竣工资料报送项目监理机构,申请竣工验收。经项目监理机构对竣工资料及实物全面检查、验收合格后,由监理工程师签署工程竣工报验单,并向建设单位提出质量评估报告。建设单位收到工程验收报告后,应由建设单位负责人组织施工、设计、监理等单位负责人进行单位工程验收。单位工程由分包单位施工时,分包单位对所承包的工程项目应按规定的程序检查评定,总包单位应派人员参加,分包工程完成后,应将工程有关资料交总包单位,建设单位验收合格,方可交付使用。
2.矿业工程中常用材料的质量检验包括哪些项目?
矿业工程中常用材料包括:水泥、钢材、木材、天然石材、配制混凝土用原料、混凝土、保温材料和耐火材料等。各种材料的质量检验项目不同。如:
(1)水泥检验项目有稠度、凝结时间、抗压及抗折强度、细度、安全性。
(2)热轧钢筋、冷拉钢筋、型钢。型钢、扁钢和钢板的检验项目有拉力、冷弯;冷拔低碳素钢丝、碳素钢丝和刻痕钢丝的一般检验项目为拉力、反复弯曲;上述两类钢材的检验项目还有冲击、硬度、焊接件的机械性能。
(3)木材的检验项目有含水率;还有顺纹抗压、抗拉、抗弯、抗剪等强度。
(4)混凝土的检验项目包括塌落度或工作度、表观密度、抗压强度,以及抗折、抗弯强度、抗冻、抗渗、干缩。
(5)保温材料检验项目包括表观密度、含水率、导热系数,以及抗折、抗压强度等。
(6)耐火材料的检验项目是表观密度、耐火度、抗压强度,以及吸水率、重烧线收缩、荷重软化温度等。
3.矿业工程基坑支护的支撑体系施工有哪些技术要求?
(1)支撑结构的安装与拆除顺序,应同基坑支护结构的设计计算工况相一致。必须严格遵守先支撑后开挖的原则;
(2)立柱穿过主体结构底板以及支撑结构穿越主体结构地下室外墙的部位,应采用止水构造措施;
(3)钢支撑的端头与冠梁或腰梁的连接应符合以下规定:...
你知道矿业工程实务考点“施工质量控制”吗?想考二级建造师矿业工程实务的考生们注意了,跟着开云官方网页版二级建造师频道来了解一下吧,更多二级建造师矿业工程实务考点请关注本频道。
2016年二级建造师《矿业工程实务》考点:施工质量控制
施工质量控制
1.矿业工程施工质量控制及事故处理的知识体系结构如何?
(1)矿业工程质量管理与保障体系
包括质量管理体系和保障体系,其中质量管理体系由定义、主要依据、基本任务及控制重点构成。
(2)工程质量及控制特点
包括工程质量的概念、影响工程质量的因素(人、材料、施工机械、施工方法、施工环境和工程施工质量控制的特点(全面性、复杂性、连续性、隐蔽性、重要性)。
(3)矿业工程施工质量控制点
包括:质量控制点的概念、选择控制点的一般原则、重点控制对象、常见施工质量控制点。
(4)矿业工程施工质量通病的预防方法
包括:造成质量问题的通常原因、预防的基本要求、常见的质量通病等。
(5)矿业工程施工质量事故的分析与处理方法
包括:质量事故的分类、质量事故的分析处理方法与程序等。
2.矿业工程常见的施工质量控制点应重点注意哪些?
矿业工程包括矿山井巷工程、地面建筑工程以及井上下安装工程等内容,施工质量控制点应结合工程实际情况进行确定。重点应注意井巷工程施工质量控制点。具体是:
(1)工程的关键分部、分项及隐蔽工程:井筒表土、基岩掘砌工程,井壁混凝土浇筑工程,巷道锚杆支护工程,注浆防水工程等。
(2)工程的关键部位:矿井井筒锁口,井壁壁座,井筒与巷道连接处,巷道交岔点。
(3)工程施工的薄弱环节:井壁混凝土防水施工,井壁接茬,巷道锚杆安装,喷射混凝土的厚度控制。
(4)工程关键施工作业:井壁混凝土的浇筑,锚喷施工作业,巷道交岔点迎脸施工。
(5)工程关键质量特性:混凝土的强度,井筒的规格,巷道的方向、坡度,井筒涌水量。
(6)工程采用新技术、新工艺、新材料的部位或环节:井壁大流态混凝土技术,立井井壁高强混凝土施工方法,可压缩井壁结构,螺旋矿仓施工工艺,巷道锚注支护工艺。
3.矿业工程施工质量事故的处理方法重点应注意哪些?
矿业工程施工质量事故的处理可按照《建设工程质量管理条例》的规定进行,其重点应注意的是:发生质量事故,有关单位应在24h内报告;根据发生事故的等级,明确报告的部门;要保护现场,防止事故的扩大。有关事故的处理程序应根据规定执行,处理程序应明确。
4.矿业工程施工质量控制案例分析。
某多层工业厂房工程采用筏板基础,为了避免雨季对施工的影响,项目经理决定加快施工进度,未及时对进场材科送捡,也在未经监理许可施工,待基础混凝土全部浇筑完毕后,发现钢筋试验报告中某些检验项目质量不合格。
问题:
(1)施工单位的做法有哪些错误?
(2)施工...
12-28
开云官方网页版二级建造师频道为您提供历年二建《矿业工程实务》真题及答案(案例分析题),2016年二级建造师考试备考,朋友们可以适当做些真题,预祝各位二级建造师的考生们都能顺利通过考试。
历年二建《矿业工程实务》真题及答案(案例分析题)
三、案例分析题(共5题,(一)、(二)、(三)题各20分,(四)、(五)题各30分)
(一)背景资料
某施工企业承担一地面建筑的基坑开挖:工程。基坑开挖深度为5m,基坑北侧距基坑边缘4m处已有一栋三层永久建筑物,坑缘堆有施工单位的大量建筑钢材。基坑所处的地质条件为砂质土层,地下水位在地表以下4m。基坑设计采用钢板桩支护。施工前建设单位为节约工程投资,指示更改支护设计,只在基坑北侧采用钢板桩支护,其它部位采用无支护的垂直开挖方式。结果基坑南侧在施工过程中出现较大变形,且一直未被发现,最终部分坍塌。因施工单位未及时处理,结果又引起了更大面积的塌方。事后施工单位准备就基坑坍塌造成的损失向建设单位索赔。
问题
1.该基坑属于几级基坑?说明理由。
2.该基坑宜采用何种降水方式?其最小降水深度应为多少?
3.该基坑坍塌的直接原因是什么?造成该基坑塌方的主要因素有哪些?
4.该基坑施工违反了哪些主要安全规定?
5.施工单位是否可对前后两次坍塌事故进行索赔?说明理由。如可索赔,施工单位应提出的主要索赔证据是什么?
答案:
1.一级基坑(1分);根据规程,与邻近建筑物的距离在开挖深度以内的基坑列为一级基坑(1分)。
2.宜采用井点降水方式(2分);最小降水深度应将水降至基坑底以下0.5m,即地表以下5.5m以下(2分)。
3.基坑坍塌的直接原因是建设单位更改了支护设计(2分)。主要因素有:(1)边坡过陡,使土体的稳定性不够(1分);(2)水对基坑稳定性的影响(1分);(3)基坑上边边缘附近超载(1分);(4)支护措施不当(1分)。
4.(1)违反在基坑附近有建筑物或构筑物时,应有专门的防止发生下沉和变形措施的规定(1分);(2)违反基坑周边1m范围内不得堆载,不得超载堆荷规定(1分);(3)违反基坑施工应有必要的变形监测的规定(2分);(4)违反安全生产规定:发生重大安全事故时,应立即采取抢险措施(1分)。
5.可对第一次坍塌事故进行索赔,不可对第二次坍塌事故进行索赔。因第一次事故由业主改变设计造成;第二次坍塌是与施工方未及时处理并防止事故扩大有关(2分);索赔证据为建设单位的支护设计方案的变更指令(1分)。
(二)背景资料
某施工单位接受邀请,按照参加投标预备会→进行现场考察→编制投标文件的程序参加了一净直径7.Om、深650m立井井筒的施工招标活动,并中标。
该工程施工中发生了以下事件:
(1)工程进行到第2个月时又新进了一批水泥,施工单位首次组织材料员、工程技术人员对该批水泥进...
矿业工程实务真题推荐访问