开云官方网页版专题频道等比数列和等差数列区别栏目,提供与等比数列和等差数列区别相关的所有资讯,希望我们所做的能让您感到满意!
11-30
等差等比数列公式有哪些?想了解等比等差是什么的朋友可以来看看,下面开云官方网页版小编为你准备了“等差等比数列公式大全”内容,仅供参考,祝大家在本站阅读愉快!
等差等比数列公式大全
等差数列通项公式、求和公式:

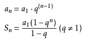
等比数列抄通项公式、求和公式:

拓展阅读:等比数列和等差数列有什么区别
等比数列是前一项除以后一项等于一个固定常数q;
通项公式an=a1·q(n-1);
等差数列是前一项与后一项的差是常数;
等差数列的通项公式an=a1+(n-1)d=dn+a1-d;
等比数列是指前一个数和后一个数的比相同,;
如:1,3,9,27,……
等差数列是指前一个数和后一个数的差相同,
如:1,4,7,10,13,,16,……
等比数列是前一项除以后一项等于一个固定常数q;
通项公式an=a1·q(n-1),
等差数列是前一项与后一项的差是固定常数;
等差数列的通项公式an=a1+(n-1)d=dn+a1-d;
一个差相等,一个比相等。
...等比数列和等差数列区别推荐访问